Updated : 2026-03-25 (수)

올해 국세수입 부족으로 지자체 지방교부세 4.2조 감소...지자체 13곳 여유자금 전무 - 야당 의원

  • 입력 2024-10-14 10:08
  • 장태민 기자
댓글
0
[뉴스콤 장태민 기자] 올해 국세 수입 부족으로 내년 지자체들의 살림살이도 다시 어려울 수밖에 없을 듯하다.

양부남 민주당 의원이 취합한 자료에 의하면 올해 국세수입 부족에 따라 지자체가 내려받는 지방교부세가 4.2조원 감소할 것으로 전망된다.

지자체 중 13곳은 이에 대응하기 위한 여유자금이 전무한 것으로 조사됐다.

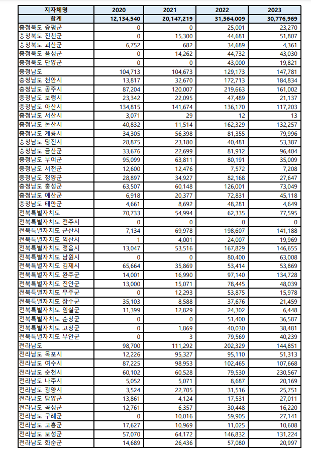
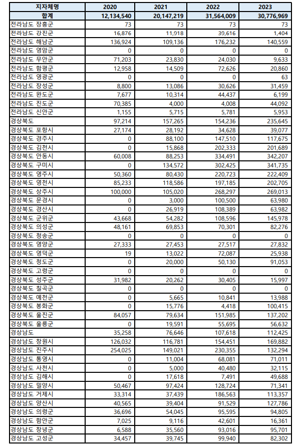
'전국 지자체별 통합재정안정화기금 연도말 조성액 현황'에 따르면 지난해 말 기준 해당 기금의 조성액은 30조 7,769억원이었다.

통합재정안정화기금은 지방세나 지방교부세와 같은 세입이 감소하거나 대규모 재난 재해가 발생하는 등 재정 상황이 어려울 때 대응할 수 있도록 지자체가 여유재원을 통합 관리·조성하는 비상금 성격의 기금이다.

도입 첫해 전국 243개 지자체 중 154곳 설치에 그쳐 12조 1,345억원에 불과했던 기금은 2021년 20조 1,472억원(210곳), 2022년 31조 5,640억원(219곳), 2023년 30조 7,769억원(230곳)으로 크게 늘었다.

지난해 말 기준 기금 조성액을 17개 광역 지자체별로 보면 서울이 5조 9,839억원으로 가장 많고 인천(9,776억원), 경기(9,730억원), 제주(7,991억원), 대구(7,937억원), 세종(4,127억원) 순이었다.

기금을 설치하지 않은 지자체는 서울 종로구·중구, 인천 미추홀구·연수구·계양구, 울산 동구·북구, 전북 전주시, 전남 영암군, 경북 청송군·고령군·칠곡군, 경남 하동군이다.

올해 지방교부세 감소가 예상되면서 이들 지자체의 세수 결손 대응도 어려워졌다.

기재부는 지난달 2024년 국세수입 재추계 결과를 발표하면서 올해 국세수입(337.7조원)이 당초 예상(367.3조원)보다 29.6조원이 덜 걷힐 것으로 추산했다.

따라서 올해 국세수입 부족으로 지방교부세 감소가 불가피할 것으로 보이며, 일부 지자체는 재정 어려움이 심화될 수 있을 것으로 보인다.

올해 국세수입 부족으로 지자체 지방교부세 4.2조 감소...지자체 13곳 여유자금 전무 - 야당 의원이미지 확대보기


올해 국세수입 부족으로 지자체 지방교부세 4.2조 감소...지자체 13곳 여유자금 전무 - 야당 의원이미지 확대보기


올해 국세수입 부족으로 지자체 지방교부세 4.2조 감소...지자체 13곳 여유자금 전무 - 야당 의원이미지 확대보기


올해 국세수입 부족으로 지자체 지방교부세 4.2조 감소...지자체 13곳 여유자금 전무 - 야당 의원이미지 확대보기


올해 국세수입 부족으로 지자체 지방교부세 4.2조 감소...지자체 13곳 여유자금 전무 - 야당 의원이미지 확대보기


올해 국세수입 부족으로 지자체 지방교부세 4.2조 감소...지자체 13곳 여유자금 전무 - 야당 의원이미지 확대보기


장태민 기자 chang@newskom.co.kr

< 저작권자 ⓒ 뉴스콤, 무단 전재 및 재배포 금지 >

로그인 후 작성 가능합니다.

모바일화면 이동